Russian Frisco - Русский Сан Франциско
Руссике артисты на Американской сценеРусские концерты на Американской сцене
. Russian America Top
Russian Frisco News. Новости на Русском Сан ФранцискоNews Russian Frisco - Events. События и Афиша на Русском Сан ФранцискоEvents Russian Frisco Yellow Pages. Жёлтые страницы Русского Сан ФранцискоYellow Pages Russian Frisco Classfieds. Объявления на Русском Сан ФранцискоClassifieds Russian Frisco Dating. Знакомства на Русском Сан ФранцискоDating Russian Frisco Forum. Дискуссионный клуб Русского Сан ФранцискоForum Russian Frisco Chat. Чат на Русском Сан ФранцискоChat
 News Central
В мире
  Политика
  Разное
Бизнес
  Деньги
Общество
  Мода
  Религия
  Светская жизнь
  Шоу Бизнес
  Пикантные новости
  Животные
  Криминал
Спорт
Искусство
  Кино
  Музыка
Авто
Hi-Tech
  Интернет
  Hardware
  SoftNews
Здоровье
Путешествия
Вокруг света
USA
Россия
  
Ресурсы
  Самые последние
  Самые читаемые
Архив
 Другие ресурсы
Все Ресурсы

Рассылки
Газеты
Журналы
ТВ - Online
Радио

Юмор
  Анекдоты
  Игры
  Этикетки
  
Открытки
  Поздравь друга
  
Программа TV
Кино
  Новости кино
  Кинообзоры
  
Музыка
  Радио в internet
  Russian Top
  
Спорт
Web Обзоры Exler.ru
  
Читальный зал
ЭКСпромт - статьи для чайников
Компьютерные игры
Finance News
Автообзоры
Russian America Journal Digest
 Смотрите также
Yellow Pages
Объявления
Чат
Форум
  последнее

Читальный зал
  Стихи
  Проза
  Кулинария

Едем в Америку!
  Иммиграция
  Визы
  Советы

Знакомства
Фотоальбомы
Top Rating
  America TOP
  
Последние новости со всего мира.
 
NEWS CENTRAL >> Hi-Tech

Hi-Tech

Физики осуществили самую точную проверку релятивистского замедления времени
2:21PM Wednesday, Nov 14, 2007
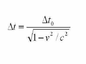
Формула, описывающая релятивистское замедление времени: дельта t0 - время, проходящее между двумя событиями, для неподвижного наблюдателя, дельта t - время, проходящее между теми же двумя событиями для объекта, движущегося со скоростью v. c - скорость света.

Формула, описывающая релятивистское замедление времени: дельта t0 - время, проходящее между двумя событиями, для неподвижного наблюдателя, дельта t - время, проходящее между теми же двумя событиями для объекта, движущегося со скоростью v. c - скорость света.
Физики проверили точность, с которой специальная теория относительности (СТО) Эйнштейна предсказывает релятивистское замедление времени. Эксперимент - самый точный из проводившихся когда-либо в этой области - показал, что погрешность составляет менее одной десятимиллионной, сообщает журнал Science.

Эффект релятивистского замедления времени можно описать примерно следующим образом: представим себе, что наблюдатель А неподвижен, а наблюдатель Б движется относительного него. С точки зрения наблюдателя А, часы наблюдателя Б идут медленнее, чем его собственные часы.

Замедление времени начинает становиться значительным только при скоростях, сравнимых со скоростью света (см. иллюстрацию: при малых скоростях знаменатель дроби практически равен единице).

Именно на этом основано знаменитое предположение, что для астронавтов, совершающих гипотетическое космическое путешествие с огромной скоростью, время идет гораздо медленнее, чем для тех, кто остался на Земле.

Количественное описание замедления неоднократно проверялось экспериментально (впервые в 1938 году), канадские физики предприняли еще одну попытку. Они использовали известную методику анализа спектра возбужденных ионов, движущихся с околосветовой скоростью. Если для движущегося иона время, с нашей точки зрения, идет заметно медленнее, это отражается на частоте, с которой он излучает электромагнитные волны (свет). Измерив изменение частоты (приводящее и к изменению цвета), можно измерить замедление времени.

Используя ускоритель частиц в институте Макса Планка в Гейдельберге (Германия), ученые разогнали ионы лития до скорости, составляющей шесть процентов от скорости света, привели их при помощи лазера в возбужденное состояние и измерили частоту излучения. Погрешность результатов по сравнению с тем, что предсказывает СТО, составляет менее одной десятимиллионной. По утверждениям исследователей, их эксперимент в десять раз точнее лучших из проводившихся ранее и в сто тысяч раз точнее эксперимента 1938 года.

По материалам lenta.ru
Смотрите также: Hi-Tech, Интернет, Hardware, SoftNews
 
Читайте также:

Скончался основоположник космической медицины академик Олег Газенко

На МКС закончили установку модуля "Хармони"

Узбекистанские ученые сообщили о создании мощного солнечного лазера

В запасниках лондонского музея нашли новый вид динозавров

Астрономы предложили новые объяснения аномально яркой сверхновой

Ракета "Протон-М" вывела спутник Sirius-4 на орбиту Земли


В американских скафандрах запахло дымом

В ЦЕРНе установлен детектор для исследования антивещества

Группа бывших летчиков обратилась к правительству США с просьбой возобновить исследования НЛО

Физики создали плазменную антенну

Археологи нашли следы древнего шоколадного пива

ООН призвала все страны определиться с законами о клонировании человека

Геофизики создали алмазные камеры для моделирования мантии Земли

Россия будет исследовать Луну вместе с Индией

Китай успешно запустил спутник Земли

НАСА передвинуло шаттл "Атлантис" на пусковую площадку



Рассылки:
  Новости-почтой
  TV-Программа
  Гороскопы
  Job Offers
  Концерты
  Coupons
  Discounts
  Иммиграция
  Business News
  Анекдоты
Многое другое...

News Central Home | News Central Resources | Portal News Resources | Help | Login
 
Russian Boston Russian LA Holostyak.com Рейтинг@Mail.ru © 2025 RussianAMERICA Holding
All Rights Reserved • Contact